Μαθηματικά Γ' Γυμνασίου ΛΥΣΕΙΣ

http://www.greekapps.info/2013/10/blog-post_18.html
Μαθηματικά Γ' γυμνασίου
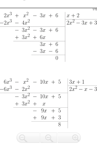
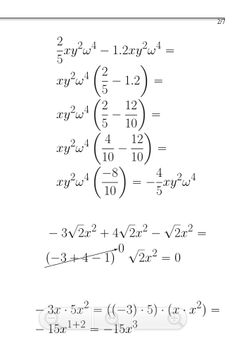
Λύσεις ασκήσεων, γραμμένες μία προς μία, όπως θα τις σκεφτόταν ένας μαθητής.
Ένα χρήσιμο εκπαιδευτικό εργαλείο για γονείς και μαθητές.
λύσεις που σου μαθαίνουν τη λογική σκέψη.
Η εφαρμογή που εσύ τη διαμορφώνεις με θέματα από τεστ και διαγωνίσματα




Μαθηματικά Γ' Γυμνασίου ΛΥΣΕΙΣ - screenshotΜαθηματικά Γ' Γυμνασίου ΛΥΣΕΙΣ - screenshotΜαθηματικά Γ' Γυμνασίου ΛΥΣΕΙΣ - screenshotΜαθηματικά Γ' Γυμνασίου ΛΥΣΕΙΣ - screenshotΜαθηματικά Γ' Γυμνασίου ΛΥΣΕΙΣ - screenshotΜαθηματικά Γ' Γυμνασίου ΛΥΣΕΙΣ - screenshot

https://play.google.com/store/apps/details?id=com.sigmatechdroid.m3

1 σχόλιο:

  1. Κοιτάξτε κι εδώ:
    http://android-math-apps.blogspot.gr/
    καλές εφαρμογές android για τα μαθηματικά του σχολείου

    ΑπάντησηΔιαγραφή

Πρώτα επιλέξτε προφίλ "Υποβολή σχολίου ως" και μετά γράψτε το σχόλιό σας

Ελληνικές Εφαρμογές και Παιχνίδια για smartphones